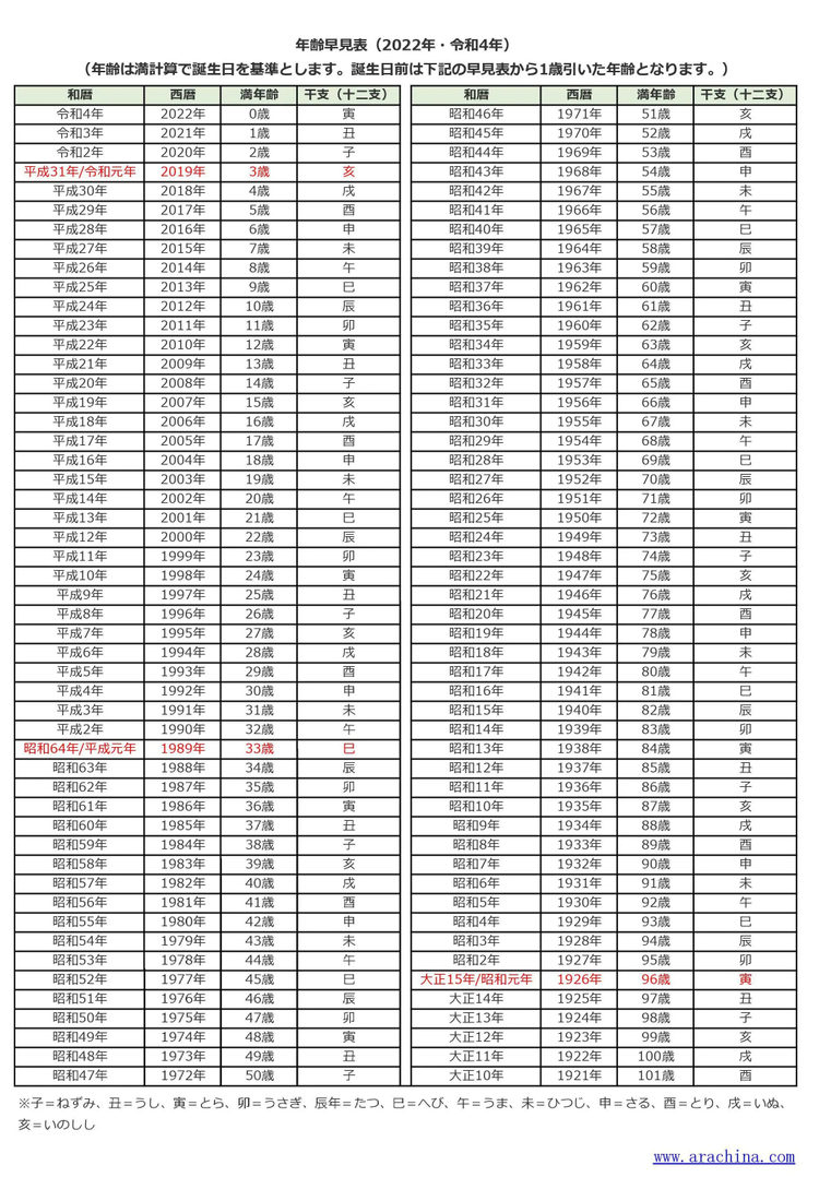
【年齢早見表2022年版】西暦でも和暦でも簡単にチェックできる!

China Highlightsに選ぶ理由

Customize Your Tour

ツアーをオーダーメイドする

  • 中国に根ざした旅行アドバイザー
  • 即時応答、これ以上待つ必要なし
  • 直接的なつながり、最高の価値
Maximize Your Flexibility

柔軟性を最大限に活用

  • プライバシーツアーガイドと専用車
  • 自分のペースで探索
  • グループツアーでは不可能な、比類のない柔軟性
Ensure Your Satisfaction

ご満足いただけることを保証

  • 全国トップ20%のガイドがあなたのサポート
  • グループの交通手段よりスペースが 20% 増加
  • 24時間年中無休の緊急サポート
Live Your China Story

自分の中国物語を生きる

  • 本物の地元文化と生活様式
  • 生活することで文化を理解する
  • 魅力的な歴史を解き明かし、新しい中国を目撃する
China Highlights logo
Trip Advisor rating 五つ星評価| 98.8% 優秀
China Highlights 国際
旅行会社
許認可 及び加盟団体

住所: 中国広西桂林七星区七星路創意産業園6棟4階